Exhibition
Step into Cognitive Manufacturing
The IMA Ever‑Evolving System invites you into a new era of manufacturing.
White paper
Reading time 7 min
IMA Active
Caterina Funaro
Process R&D Laboratory Manager at IMA Active
In this study, organic solutions and aqueous dispersions of ethylcellulose were used to prepare a prolonged drug release dosage form consisting of drug subdivided into many small units. As a drug model, a non-steroidal antinflammatory drug was chosen, and as core substrate, the pellets prepared by extrusion-spheronization technology were used.
The coating equipment used was a modified GS pilot pan supplied with two perforated immersion swords.
The technological evolution and versatility of GS pan equipment have widely contributed to the development of multiple-unit dosage forms consisting of pellets, minitablets or granules, coated with organic and aqueous polymer systems. [1, 2, 3]
The preparation of multiparticulate modified release dosage forms involves the application of a coating with a thin polymeric membrane controlling the release of the drug. The film coating can be obtained both with organic solutions and with aqueous dispersions of solid polymer particles; such systems are characterized by different mechanisms of film formation:
• Simple evaporation of solvent from polymer solutions
• Coalescence of solid particles from polymer dispersions
The coating equipment used was a modified GS pilot pan supplied with two perforated immersion swords.
The aims of the work were:
• To evaluate the technological aspects of the coating process carried out with both film coating systems
• To verify the behaviour of the coated pellets when they are submitted to the drug dissolution test
Pellet preparation
Pellets consisting of the anti-inflammatory drug model, microcrystalline cellulose and lactose (55:30:15 ratio) were prepared by extrusion and spheronization processes. [2]
Film coating
Materials
Ethylcellulose (Ethocel, Dow Chemical, USA and Aquacoat ECD30, FMC, USA), hydroxypropylmethylcellulose (Methocel E5, Colorcon, UK), diethylphtalate (Eastman Chemical Products, USA), talc (Talco & Grafite, I), polyethylene glycol (PEG 6000, BASF, D), lactose (Meggle, D), triethylcitrate (Pfizer, USA), triacetine (CarloErba Reagents, I).
Coating method
Pellets were coated into a modified GS pilot pan (IMA, Italy) equipped with two perforated blower immersion swords (Figure 1).

Figure 1: GS blower immersion swords.
The formulations of the polymeric systems used in the coating process are shown in Table 1; the operative conditions of the pan are shown in Table 2.
| Type formulation | Aqueous solution* | Organic solution | Aqueous dispersion |
| Market name | (Methocel) | (Ethocel) | (aquacoat) |
| Code | HPMC/AS | EC/OS | EC/AD |
| Hydroxypropylmethylcellulose | 8.0 | 0.42 | – |
| Ethylcellulose | – | 7.00 | – |
| Ethylcellulose (30% aq. dis.) | – | – | 80.65** |
| Polyethylene glycol 6000 | 0.8 | – | – |
| Talc | 0.8 | – | – |
| Diethylphthalate | – | 1.40 | – |
| Triethylcitrate | – | – | 5.80 |
| Lactose | – | 1.40*** | – |
| Purified water | 91.6 | – | 13.55 |
| Methylene chloride | – | 44.89 | – |
| Ethanol | – | 44.89 | – |
* Hydropropylmethylcellulose (HPMC) solution used for solution used for the under coating of sealing. | |||
Table 1: Composition of polymeric solutions and dispersions used.
| Process contions | m.u. | HPM/AS | EC/OS | EC/AD |
| Market | name | 6400 | 6500 | 6500 |
| Pellet load | g | 65 | 45 | 60 |
| Inlet air temperature | °C | 34 | 36 | 34 |
| Pan speed | rpm | 26 | 26 | 26 |
| Peristaltic pump speed | rpm | 6·8 | 6.8 | 10·12 |
| Spray pressure | atm | 0,8 | 0,8 | 0,8 |
| Drying time | min | 20 | 15 | 40 |
| Drying temperature | °C | 60 | 40 | 55 |
Table 2: Coating precess conditions.
The coated pellets were withdrawn when they reached the 2, 3, 4 and 6% weight gain with the organic solutions, and the 3, 6, 9 and 12% weight gain with the aqueous dispersions.
Sieve analysis:
sample size 100 g, OCTAGON 200 Sieve Shaker (Endrecotts LTD, UK), 5 minutes.
Apparent density:
100 g of pellets were gently and slowly poured into a 250 mL cylinder.
Friability:
sample size 10 g, Roche friabilator, 25 glass spheres of 7 mm diameter, 10 miutes; pellets were redusted and reweighed. All tests were performed in triplicate.
Dissolution test:
the drug dissolution rate from pellets was assessed according to USP 23 method (apparatus 2,900 mL of a phosphate buffer solution pH 6.8, 37°C, 100 rpm).
From a technological point of view, even if different coating systems were used, neither aggregations between the pellets nor blocking of the coating liquid in the distribution system were observed during the coating process.
The coating application yields of the polymeric systems, which were more than 95%, were higher for the organic solutions: nevertheless, the use of organic polymer solutions involved a higher calibration of the finished product (Table 3).
| Technological characteristics | m.u. | HPM/AS | EC/OS | EC/AD |
| Coating yield | % | 96 | 97 | 95 |
| Product with sizes >1400 µm | % | 4 | 8 | 5 |
| Loss of drying | % | 1.7 | 1.9 | 2.8 |
| Residual solvent | ppm | – | <20 | – |
| Apparent density | g/L | 680 | 660 | 650 |
Table 3: Technological charactheristics of coated products.
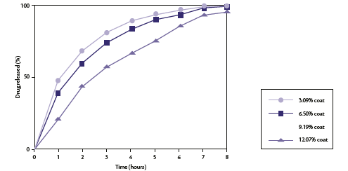
The pellets coated with ethylcellulose organic solutions showed a drug dissolution profile closely dependent on the amount of the film applied to them (Figure 4).

Figure 4: Drug dissolution profiles from pellets coated with organic solutions (containing lactose as a vehicle agent).
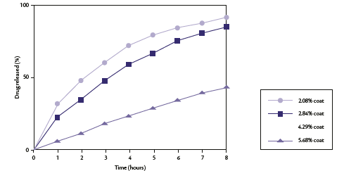
On the contrary, the film obtained by aqueous ethylcellulose dispersion (Aquacoat) showed a lower capacity to control the drug release in relation to the layer of the coat (Figure 5).

Figure 5: Drug dissolution profiles from pellets coated with aqueous polymer dispersions.
This was already found in a previous work in which it was determined that the presence of pores proved to be an important role in the total drug diffusion performance.
Then, PEG 6000 was used as a vehicle agent in substitution of lactose. The influence on the drug diffusion characteristics through the film was evaluated. Because of its solubility in the coating material solvent and, consequently, its uniform distribution among the molecules of polymer, polyethylene glycol significantly reduces the drug dissolution rate (Figure 6).

Figure 6: Drug dissolution profiles from pellets coated with organic solutions (polyethylene glycol as a vehicle agent).
The presence of solid lactose particles, dispersed just like in the film, caused the formation of pores and channels favouring the drug diffusion through the membrane.
Therefore, the ethycellulose films obtained from organic solutions were found to be structurally defined and with very high formulation potentially, even if they require a greater attention regarding its ecology, toxicology and safety aspects.
This study clearly confirmed the versatility of use of GS pan coating equipment with both ethycellulose organic solutions and aqueous dispersions. In addition, it also showed that the films of pellets coated with organic polymer solutions display a higher capacity and flexibility to control the drug release compared to those coated with aqueous polymer dispersions.
GS Car is a wheeled tank for film and sugar coating suspensions. Fitted with a propeller and a specially positioned graded, graduated baffle, GS Car keeps the coating solutions perfectly smooth without incorporating any air bubbles.
References
[1] Bianchini R., Vecchio C., Modified Release Beads Coated with Cellulose Derivatives by Pan Technique, “Boll. Chim. Farm.”, 126 (II), pp. 441- 448, 1987.
[2] Bianchini R., Vecchio C., Oral Controlled Release Optimization of Pellets Prepared by Extrusion Spheronization Processing, “Il Farmaco”, 44 (6), pp. 645-654, 1989.
[3] Spadoni A., Vecchio C., Modified Release Pellets Obtained by Drug Suspension Layering and Subsequent Film Coating Using the GS Pan Coating System, Proceeding Symposium AFI 1997, p. 133.
[4] Bianchini R., Bruni G., Gazzaniga A., Vecchio C., D-Indobufen extended-release pellets prepared by coating with aqueous polymer dispersions, “Drug Dev. Ind. Pharm.”, 19 (16), pp. 2021-2041, 1993.